Lezione 5
Lezione 5
Classi, Ereditarietà e classi astratte - II

In questa quinta lezione affronteremo l'implementazione di una classe astratta Poligono con dei metodi (perimetro ed area) anch'essi astratti. Di questi vedremo l'implementazione specifica in due classi derivate: poligono regolare e rettangolo. Infine proveremo ad implementare la classe Quadrato che eredita metodi dalla classe poligoni (regolari) e dalla classe Figura.

ESERCIZIO 5.0 - Classe Poligono Astratta (da consegnare):
Vi viene fornita la classe "Poligono" come classe astratta in cui sono presenti i metodi astratti "area" e "perimetro". Implementare due classi concrete "PoligonoRegolare" (il costruttore di questa classe deve istanziare il numero di lati) e "Rettangolo" che ereditano dalla classe "Poligono" ed in cui sono implementati i metodi "area" e "perimetro".
Scrivere un programma che calcoli il perimetro e l'area di alcuni poligoni regolari passando da tastiera la lunghezza del lato. Calcolare perimetro e area di un rettangolo passando da tastiera la lunghezza dei due lati. Stampare a video i risultati.

Brevi richiami
Ereditarietà

Classi astratte e comando virtual

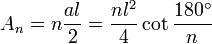
Area Poligoni Regolari

ESERCIZIO 5.1 - Classe Quadrato (da consegnare):
Creare una classe Quadrato che erediti da una classe PoligonoRegolare (che implementi il calcolo di aree e perimetro) e da una classe Figura. La classe Figura implementerà i metodi per rappresentare a video un qualche oggetto grafico. Per semplificare assumiamo di voler definire il colore, codificato da un intero, della sua rappresentazione a video e che tale rappresentazione sia costituita da una linea di output su terminale che restituisca il codice colore della figura.

Scrivere un codice che crei un quadrato di lato 3 e di colore rosso (dove il codice per il rosso è il 5). Stamparlo quindi a video e far restituire i valori di area e perimetro.


Brevi richiami
Eredità multipla

Back to Home Page